Month: April 2025
Led into Temptation in Knaresborough
The Animism of Double Glazing
A Blast of Nostalgia on the Keighley and Worth Valley Railway
Trifle: the Barbarism of Britain in a Bowl
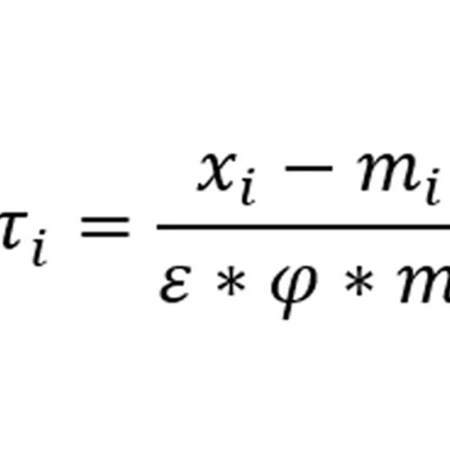
Donald Trump’s Trade Tariff Equation Explained
