Donald Trump has recently implemented a raft of trade tariffs on goods imported into the US. But how have the tariffs been worked out?
Thankfully, for anyone thinking that it was just based on the whim of a lunatic, there is a complex mathematical equation, which underpins the entire philosophy.

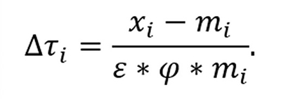
But what do the funny symbols all mean?
Here, the Office of the United States Trade Representative has a helpful explanation. I quote from their website:
“Consider an environment in which the U.S. levies a tariff of rate τ_i on country i and ∆τ_i reflects the change in the tariff rate. Let ε<0 represent the elasticity of imports with respect to import prices, let φ>0 represent the passthrough from tariffs to import prices, let m_i>0 represent total imports from country i, and let x_i>0 represent total exports. Then the decrease in imports due to a change in tariffs equals ∆τ_i*ε*φ*m_i<0.”
Well, I think that is all clear now, isn’t it?
If not, I have my own explanation for the symbols:
x – represents the loss of good will from all US allies
m – represents the number of migrant workers required to fulfil any new US manufacturing jobs
ε – represents the price increase on a pair of Nike Air trainers
φ – represents the setback in years to the global economy
∆ – is just a shape put in to make it seem like the entire thing is worked out by someone cleverer than you are
τ – represents the amount that Russia is laughing
© Simon Turner-Tree

Simon Turner-Tree might be subject to a tariff on timber goods.
